En economía, las curvas son una forma visual poderosa para representar preferencias, decisiones y límites. Hoy veremos tres curvas fundamentales: la curva de utilidad, la curva de indiferencia, y la curva de producción (o isocuanta), incluyendo cómo interactúan en la toma de decisiones.
🔶 1. Curva de Utilidad: ¿Cuánta satisfacción o beneficio tengo?
La utilidad mide la satisfacción que una persona obtiene al consumir bienes. La función Cobb-Douglas es muy utilizada para representar estas preferencias:

Aquí tenéis un gráfico que muestra curvas de indiferencia, es decir, combinaciones de dos bienes (X e Y) que otorgan el mismo nivel de satisfacción:


Las curvas más alejadas del origen indican mayor utilidad.
🔁 2. Curvas de Indiferencia: Todas estas opciones me hacen igual de feliz
Una curva de indiferencia representa todas las combinaciones de bienes entre las que un consumidor es indiferente (le generan la misma utilidad).
Son:
- Convexas al origen
- Nunca se cruzan
- Y tienen pendiente negativa
Estas curvas también se derivan de funciones como la Cobb-Douglas y son parte del análisis del equilibrio del consumidor.
🏭 3. Curvas de Producción (Isocuantas): ¿Cómo producir lo mismo con diferentes insumos?
Para una empresa, lo importante no es la utilidad, sino la cantidad producida. Usamos funciones de producción como:

Las isocuantas representan combinaciones de insumos que generan el mismo nivel de producción:

Cada curva muestra una cantidad constante de output, como 10, 15, o 20 unidades.
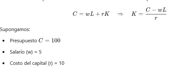
💸 4. Línea Isocoste: El límite del presupuesto
La línea isocoste representa todas las combinaciones de insumos que cuestan lo mismo para la empresa.

✅ Punto Óptimo: Donde se toma la mejor decisión
El punto de tangencia entre una isocuanta y la línea isocoste indica:
- La combinación óptima de capital y trabajo
- El máximo output posible con el presupuesto disponible
De forma análoga, el punto donde una curva de indiferencia toca la restricción presupuestaria indica la mejor elección del consumidor.

🧩 Comparación Rápida
| Curva | ¿Quién la usa? | ¿Qué muestra? | Forma |
|---|---|---|---|
| Utilidad | Consumidor | Nivel total de satisfacción | Creciente |
| Indiferencia | Consumidor | Combinaciones con igual utilidad | Convexa |
| Producción (Isocuanta) | Empresa | Combinaciones con igual output | Convexa |
| Isocoste | Empresa | Combinaciones con igual costo | Recta/Plano |
📌 Estas curvas son herramientas esenciales para entender cómo se toman decisiones racionales con recursos limitados, tanto en consumo como en producción.
🔗 ¿Te gustaría ver una versión interactiva
Aunque a primera vista las curvas de utilidad y el descenso por gradiente parecen conceptos de mundos distintos (microeconomía vs. optimización/machine learning), tienen varias similitudes profundas desde el punto de vista matemático y geométrico. 👇:
🔄 Similitudes entre Curvas de Utilidad e Iteraciones del Descenso por Gradiente
| Aspecto | Curva de Utilidad | Descenso por Gradiente |
|---|---|---|
| Función objetivo | Maximizar utilidad | Minimizar función de costo |
| Espacio multidimensional | Utilidad en función de bienes (e.j., U(x, y)) | Costo en función de parámetros (e.j., J(θ₀, θ₁)) |
| Derivadas parciales | Usadas para calcular la Tasa Marginal de Sustitución (TMS) | Usadas para calcular la dirección del descenso |
| Gradiente | Vector de utilidades marginales (MUₓ, MUᵧ) | Vector de derivadas parciales del costo respecto a los parámetros |
| Dirección óptima | Movimiento a lo largo de la curva de presupuesto hacia curvas de mayor utilidad | Movimiento en dirección opuesta al gradiente para reducir el costo |
| Curvas de nivel | Curvas de indiferencia = mismo nivel de utilidad | Curvas de nivel = mismo valor de la función de costo |
| Óptimo | Punto tangente entre restricción presupuestaria y curva de indiferencia | Mínimo local donde gradiente = 0 |
🔍 Ejemplo visual para ayudar a entender:
En economía:
- Las curvas de indiferencia son líneas de nivel de una función de utilidad U(x,y)U(x,y).
- El consumidor maximiza utilidad sujeto a una restricción (presupuesto).
- El punto óptimo es donde la recta presupuestaria tangencia con la curva de mayor utilidad posible.
En optimización:
- Las curvas de nivel de la función de pérdida J(θ0,θ1)J(θ0,θ1) muestran valores constantes de costo.
- El descenso por gradiente busca el mínimo moviéndose en la dirección opuesta al gradiente.
- El algoritmo «baja» la colina hasta que el gradiente se hace cero (mínimo local/global).

🧠 Intuición matemática común:
Ambos conceptos se basan en:
- Funciones multivariables.
- Derivadas parciales.
- Curvas de nivel.
- Análisis de gradientes para moverse «inteligentemente» en el espacio.
por simplicidad visual, no por limitación conceptual.
- En teoría, una curva de indiferencia puede existir en un espacio de muchos bienes: U(x1,x2,…,xn)=U(x_1, x_2, …..x_n) = U(x1,x2,…,xn)
- Pero en la práctica, solo representamos dos bienes (ejes X e Y) para poder graficarla como una línea en 2D.
- Es lo mismo que hacemos en las curvas de nivel de funciones multivariables: tomamos solo 2 variables para graficar.
Entonces, tanto las curvas de indiferencia como las curvas de nivel:
- Representan combinaciones de variables (dos o más).
- Cada curva es el conjunto de puntos donde la función tiene un valor constante.
En ambos casos, si tu función tiene más de dos variables, la «curva» de igual valor pasa a ser una superficie o un hiperplano, pero graficamos 2D para entenderlo mejor.
🎯 Concluyendo:
- No es que las curvas de indiferencia sean más limitadas. Representan solo 2 bienes por motivos de visualización, igual que las curvas de nivel.
- Ambas curvas representan «lugares geométricos» de puntos donde una función tiene el mismo valor.









Deja un comentario